【2026年版】年齢早見表(無料・Excel)|西暦・和暦・干支対応/A4縦

【2026年版】年齢早見表(無料・Excel)|西暦・和暦・干支対応/A4縦

このテンプレートは、2026年対応の年齢早見表(Excel形式・無料)を掲載しています。
西暦・和暦・年齢を一覧で確認できる基本版と、干支入りで年齢と生まれ年を同時に把握できる実用版の2種類があり、2026年の年齢計算をすばやくすることができます。
登録不要・無料ダウンロードですぐに使え、A4縦サイズで印刷にも最適です。

目次

Excelで作成した、2026年 年齢早見表のテンプレートを登録不要・無料でダウンロードできます。

2026年 年齢早見表とは

2026年 年齢早見表は、生まれ年から2026年時点の年齢を簡単に確認できる一覧表です。
年齢計算は意外と手間がかかり、名簿作成や申請書類、学校・自治会・会社業務などでミスが起こりやすい作業のひとつです。

本テンプレートでは、

  • 西暦
  • 和暦(昭和・平成・令和)
  • 年齢
  • 干支(テンプレート2)

を一覧形式で整理しているため、計算せずに年齢確認が可能です。


テンプレートの特徴

  • 2026年対応
  • Excel形式で自由に編集可能
  • A4縦サイズで印刷しやすい
  • 登録不要・完全無料
  • 業務・学校・家庭・地域活動まで幅広く対応

Excel作成のため、並び替え・不要行の削除・色分けなども簡単に行えます。


便利な使い方

  • 不要な年代を削除して必要な年齢層だけを表示
  • 条件付き書式で特定年齢を強調表示
  • 列の追加で「メモ欄」「チェック欄」を作成
  • 社内・団体用にロゴやタイトルを追加

おすすめの用途

  • 会社・学校・自治体の事務作業
  • 年齢条件のある申請・受付業務
  • 行事・イベントの対象年齢確認
  • 家庭での年齢・干支一覧管理

スポンサーリンク

2026年 年齢早見表を無料ダウンロード|Excel編集可・干支入り

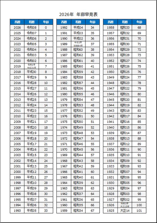
テンプレート1:西暦・和暦・年齢を表示

もっともシンプルで汎用性の高い年齢早見表です。
年齢確認を目的とした業務や、名簿・リスト作成時に向いています。
社員・会員・生徒名簿、申請書類の年齢確認、学校・保育・福祉関連業務などでご利用ください。

2026年 年齢早見表 テンプレート1(西暦・和暦・年齢)

Excelテンプレート1の無料ダウンロード

※本テンプレートは、内容の正確性・完全性を保証するものではありません。
ご利用にあたっては、ご自身の責任において内容をご確認のうえご使用ください。

スポンサーリンク


テンプレート2:西暦・和暦・干支・年齢を表示

年齢だけでなく干支も同時に確認できる実用性の高いテンプレートです。
年祝い・行事・名簿整理など、年齢+生まれ年の把握が必要な場面に最適です。
還暦・古希・喜寿などの年祝い、自治会・町内会名簿、冠婚葬祭・式典準備などでご利用ください。

2026年 年齢早見表 テンプレート2(西暦・和暦・干支・年齢)

Excelテンプレート2の無料ダウンロード

※本テンプレートは、内容の正確性・完全性を保証するものではありません。
ご利用にあたっては、ご自身の責任において内容をご確認のうえご使用ください。

スポンサーリンク

よかったらシェアしてね!
  • URLをコピーしました!
目次