生まれ年を見れば、2027年(令和9年)時点の年齢がすぐに分かる「年齢早見表」です。西暦・和暦を対応させた一覧表で、年齢計算の手間を省き、名簿作成や条件確認が簡単になります。干支付きテンプレートもあり、登録不要ですぐに利用できます。
目次
Excelで作成した、2027年 年齢早見表のテンプレートを登録不要・無料でダウンロードできます。
「この人は2027年時点で何歳か?」が素早く年齢確認できる便利な一覧表です。このページの「2027年 年齢早見表」は、生まれ年を起点に年齢を確認できる仕組みで、計算を行う必要がありません。
西暦と和暦を併記しているため、履歴書・名簿・公的書類など、さまざまな資料との照合が簡単に行えます。さらに、干支を含めたテンプレートもあるので、年齢確認と同時に干支を把握したい場合にも適しています。
Excelで作成しているので、並び替えや行の追加・削除、印刷範囲の変更なども簡単です。登録不要・完全無料でダウンロードでき、業務用途から個人利用まで幅広く活用できる実用的な早見表です。
次のような場面でご利用ください
- 名簿・顧客リスト作成
- 年齢制限・対象年齢の確認
- 学校・自治会・研修資料
- 行事・イベント準備
次のような方に適しています
- 事務担当
- 名簿作成者
- 行事・会員管理
スポンサーリンク
2027年 年齢早見表の無料ダウンロード
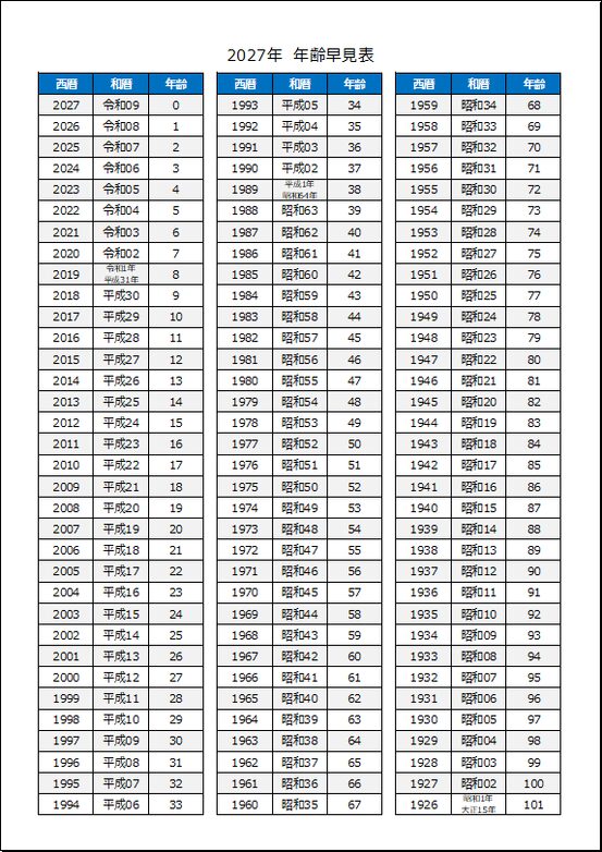
テンプレート1:西暦・和暦・年齢(生まれ年基準)
生まれ年と2027年時点の年齢を対応させたシンプルな一覧表です。名簿作成や年齢条件チェックなどでご利用ください。

Excelテンプレート1の無料ダウンロード
※本テンプレートは、内容の正確性・完全性を保証するものではありません。
ご利用にあたっては、ご自身の責任において内容をご確認のうえご使用ください。
スポンサーリンク
テンプレート2:西暦・和暦・年齢・干支(生まれ年基準)
年齢と干支を同時に確認できる一覧表です。行事名簿や顧客・会員管理などでご利用ください。

Excelテンプレート2の無料ダウンロード
※本テンプレートは、内容の正確性・完全性を保証するものではありません。
ご利用にあたっては、ご自身の責任において内容をご確認のうえご使用ください。
Excelでできるカスタマイズ案
- 特定年代のみ抽出
- 年齢順・生年順で並び替え
- 社名・年度表記の追加
- モノクロ印刷用配色変更
- 干支列の表示/非表示切替
スポンサーリンク
